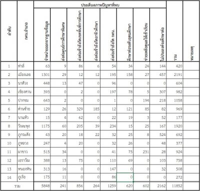
สำนักงาน กศน.จังหวัดเลย นำโดย นายปัญญา ศาสตรา ผู้อำนวย สำนักงาน กศน.จังหวัดเลย พร้อมด้วย ข้าราชการ ครู และบุคลากรในสังกัด ร่วมโครงการประชุมการแก้ไขปัญหาประชากรวัยเรียนที่อยู่นอกระบบการศึกษา
Warning
: getimagesize(images/anews/44775325_1323365774465965_165143914892754944_o.jpg) [
function.getimagesize
]: failed to open stream: No such file or directory in
C:\AppServ\www\loei-dole\html\anews.php
on line
70
สำนักงาน กศน.จังหวัดเลย นำโดย นายปัญญา ศาสตรา ผู้อำนวย สำนักงาน กศน.จังหวัดเลย พร้อมด้วย ข้าราชการ ครู และบุคลากรในสังกัด ร่วมโครงการประชุมการแก้ไขปัญหาประชากรวัยเรียนที่อยู่นอกระบบการศึกษา โดยให้ ครู กศน.ตำบล สำรวจ ตรวจสอบข้อมูลในระดับพื้นที่พร้อมทั้งจัดหาที่เรียนให้กลุ่มเป้าหมายและได้จัดทำข้อมูลสารสนเทศผลการดำเนินงานเข้าสู่ระบบประชากรวัยเรียนที่อยู่นอกระบบการศึกษาแล้วเสร็จ 100% ภายในวันที่ 25 ตุลาคม 2561
จำนวนผู้เข้าชม :: 10351 ครั้ง
ข่าวโดย - ลัทธพล คึมยะราช
ข่าวกิจกรรมอื่น ๆ
สำนักงานส่...
การแข่งขัน...
สำนักงานส่...
ประชุมชี้แ...
???????? ประกาศส...
...